PROBLEM SUBCHAPTER 5.5









1. Hasil pengukuran baterai 8v jika volt/div yang digunakan pd skala 5! hitung nilai tegangan volt pd gambar diatas jika volt/div yang digunakan 0,2v?

SOLUSI

 0,2 : 5= 0,04v/garis

0,04 x 9 = 0,36v


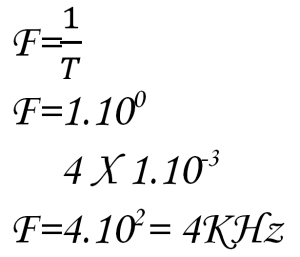
2. jika time/div yang digunakan 1 ms!


SOLUSI






Tidak ada komentar:

Posting Komentar

cover

BAHAN PRESENTASI UNTUK MATAKULIAH SISTEM DIGITAL 2022 Nama: Heru Kurniawan NIM: 2010952005 Sistem Digital Kelas B Dosen Pengampu ; Darwison,...